Warning: file_exists() [function.file-exists]: Unable to access /mnt/167/sdb/c/4/prepamp/docs/N.avancees/kit_Photos/site_flash/admin/libs/amfphp/amf-core/adapters/lib/style.css.php in /mnt/112/sdb/c/4/prepamp/docs/maths/lire.php(1) : eval()'d code on line 1
Mathématiques


Mathématiques

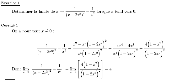
Exercice CCP : Calcul d'une limite




En rapport avec ces documents

  1. Les concours sur plus de 3 ans !


Vos commentaires


Connectez-vous !

Les dernières nouveautés